Home Help & Support Search Tips Options: Case:


Accounting | Business | Computer Science | General Studies | Math | Sciences | Civics Exam | Help/Support | Join/Cancel | Contact Us | Login/Log Out

   Need A Tutor?    |   Need Homework Help?                                                                             Help and Support     | Join or Cancel

Calculus (MAT-251)     Graded Exam  1     2.1     2.2     2.3     3.1     3.2     4.1    4.2       Midterm   1    2     Final Exam  1   2            

Lesson   1    2    3    4    5    6    7    8    9    10    11    12    13    14    15    16    17    18    19

Calculus I (MAT-251)
Graded Exam 4a

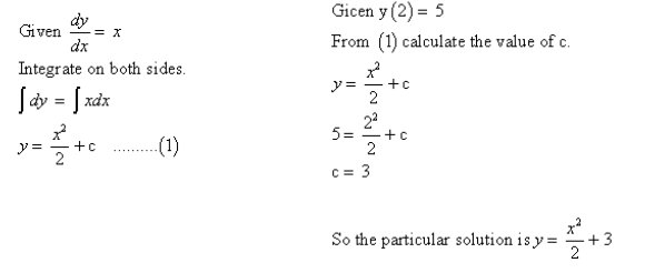
Find the particular solution to  = x if y(2) = 5

Answer:     y = x2 + 3

Explanation


  What does arctan 0 equal?

 
                Answer:     0



No explanation necessary.
 

What does arcsin (sin (5 TT/4)) equal?
Answer:  
Explanation:


Evaluate the following as true or false.
Every function of the form f(x) = c – x is its own inverse, for and choice of c.


          Answer:     True


No explanation necessary

Which one of the following functions is invertible?



            Answer:       


No explanation neccessary

 
Solve the following differential equation  for the general solution:
                   xy2.
  Answer:     y =   
Explanation


 
Evaluate:       


            Answer:     2 ln|x + 2| + 6ln|x – 2| + C 


Explanation



  What is the area of the region between the curves:   y = x3 + x2 - 1 and y = 2x2 +2x – 1

 
                            Answer: 32/12

Explanation:
Eliminate like terms.
(y) = x3 + x2 – 1 = 2x2 + 2x -1
Solve for x:       x = -1, 0, or 2   Substitute 0 for x =  2x2 + 2x − 1 =
y  = 2(0)2 +2(0) − 1 =     y=-1
Evaluate y when x = 2 =  y = 2(2)2 + 2(2) − 1 =     y = 11
Evaluate y when x = −1 = y = 2(−1)2 + 2(−1) − 1 =              y = -1
The solution to the system is the complete set of ordered pairs that are valid solutions
(0, −1)    (2, 11)     (−1, −1)
0,-1 x3 +x2-1- (2x2 +2x-1) =     5/12 + 2,0 2x2 +2x-1- y-x3 +x2-1 =         8/3

5/12 + 8/3 =  37/12


Every function of the form f (x) = c − x is its own inverse, for and choice of c

 
           Answer: True


No explanation necessary.
 

 Evaluate


                Answer: 5 ln|x + 3| + 5ln|x | + C

Explanation:

'


Evaluate       


                       Answer:   + x + 5ln|x - 1| + C


Explanation




  What is the value of  [f-1 (x)] when x = 0, given that f(x) =   and f-1(0) = 0?
              Answer:     1  

Explanation:
f(x) = x / 1 - x
y = x / 1 - x
x = y / 1 - y
f-1(x) = x / x + 1
f-1(0) = 0
d/dx[f-1(x)] = d/dx [ x /1 + x] = 1 / (1 + x)2
d/dx[f-1(0)] = 1 / 1 = 1

What is the value of :   
 
                Answer:     1

Explanation
 


Evaluate:    
 
                 Answer: ln |x| + ln|x - 2| + C


Explanation
 


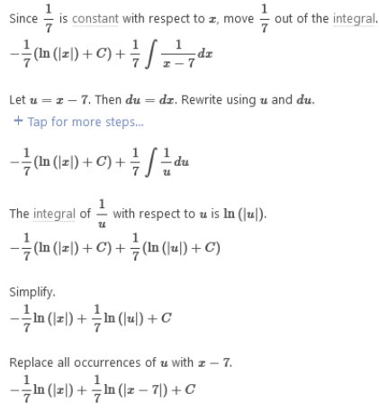
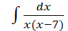
Evaluate:     



            Answer:  ln |x|  + ln |x - 7| + C


Explanation




What does arcsin   equal?
                      Answer:  


Explanation

Solve    = 3 + y tan
               
            Answer: y = 3tan x + C sec x  ü

Explanation



Calculus (MAT-251)     Graded Exam  1     2.1     2.2     2.3     3.1     3.2     4.1    4.2       Midterm   1    2     Final Exam  1   2            
Lesson   1    2    3    4    5    6    7    8    9    10    11    12    13    14    15    16    17    18    19     Need Homework Help?      Need A Tutor?

Evaluate:  
         Answer:   + C   ü


Explanation



Separate the variables of the equation:  
              
No explanation necessary.

 
Which of the following is an antiderivative of     arcsin x?
 
     

Explanation:




  Evaluate the following as true or false: the equation is a separable.
            Answer: True



No explanation necessary.
 

  Evaluate 
   


 


How many of the following are the first-order linear differential equations:

            
                Answer: 2
No explanation necessary

Calculus (MAT-251)     Graded Exam  1     2.1     2.2     2.3     3.1     3.2     4.1    4.2       Midterm   1    2     Final Exam  1   2            
Lesson   1    2    3    4    5    6    7    8    9    10    11    12    13    14    15    16    17    18    19     Need Homework Help?      Need A Tutor?


Home
Accounting & Finance Business
Computer Science General Studies Math Sciences
Civics Exam
Everything Else
Help & Support
Join/Cancel
Contact Us
 Login / Log Out